| [zurück] | Sonntag, 07.07.2024 |
[vor] |
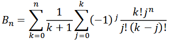
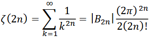
Nach dem Frühstück habe ich mich etwas mit den Bernoulli Zahlen beschäftigt.

Die Berechnug der Bernoulli Zahlen.

Die Formel verbindet die Riemannsche Zeta-Funktion
mit den Bernoulli Zahlen und der Kreiszahl
pi.
Das Mittagessen
|
Der Hähnchenschenkel war zart und hatte ein feines Aroma, Spuren vom Grillen gab es aber nicht, sehr lecker. Statt Blumenkohl gab es matschigen Brokkoli, ganz lecker. Dazu gab es Kartoffeln und eine geschmacklose Geflügel Sauce.
Das Vanille Eis war einfach aber sehr lecker.
Am späten Nachmittag bin ich am Großen Segeberger See entlang zum Parkplatz Rennkoppel gelaufen und zum Ihlsee gefahren. Dort wollte ich im Restaurant am Ihlsee etwas essen. Neben dem Restaurant gibt es das Ihlsee Strandbad, einen anderen Zugang zum Ihlsee gibt es in der Nähe nicht.

Der Park neben der Klinik.

Der Große Segeberger See.

Der Große Segeberger See.

Der Große Segeberger See.

Der Ihlsee mit dem
Ihlsee Strandbad.
Um 18:00 bin ich dann ins Restaurant gegangen.

Das Restaurant am Ihlsee.
| [zurück] | [Startseite] | [vor] |