| [zurück] | Phenprocoumon (Marcumar) |
[vor] |
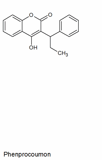
Phenprocoumon (Marcumar) ist ein Vitamin K Antagonist und hemmt die Blutgerinnung. Nehmen musste ich es nicht aber ist von seiner Struktur sehr interessant, ähnliche Verbindungen werden als Rattengift eingesetzt.
| Name | Phenprocoumon |
| Name (IUPAC) | (RS)-4-Hydroxy-3-(1-phenylpropyl)cumarin |
| CAS Nr. | 435-97-2 |
| Summenformel | C18H16O3 |
| Molare Masse | 280,32 g/mol |

Chemisch leitet sich Phenprocoumon vom Cumarin, dem Waldmeisteraroma bzw. vom 4-Hydroxycumarin ab. Die 4-Hydroxycumarine bilden eine Produktgruppe die sowohl in der Medizin als auch als Rattengift Verwendung finden. Der Rest R ist für die Eigenschaften bzw. die Toxizität entscheidend.
![]() |
![]() |
![]() |
![]() |
| Cumarin | 4-Hydroxycumarin | 4-Hydroxycumarine | Phenprocoumon |
Diese Produktgruppe wurde eher durch Zufall entdeckt. Nachdem Weidetiere an inneren Blutungen verendet waren entdeckte man im Heu die Verbindung Dicumarol, es entsteht aus dem in den Pflanzen (z.B. Steinklee) enthaltenem Cumarin.
![]() |
![]() |
| Cumarin | Dicumarol |
Das Dicumarol wurde in der Medizin als Blutgerinnunghemmer und auch als Rattengift eingesetzt. Daraus wurde dann das Tromexan entwickelt.
![]() |
|
| Dicumarol | Tromexan |
Weitere Wirkstoffe sind das Phenprocoumon, Warfarin, Coumatetralyl und Acenocumarol wobei das Warfarin und das Coumatetralyl als Rattengift eingesetzt werden.
![]() |
![]() |
![]() |
![]() |
| Phenprocoumon | Warfarin | Coumatetralyl | Acenocumarol |
Das Warfarin wurde lange als Rattengift eingesetzt, nach dem Auftreten von Resistenzen wurden die Superwarfarine entwickelt die eine deutlich höhere Toxizität haben.
![]() |
![]() |
![]() |
![]() |
![]() |
| Difenacoum | Brodifacoum | Bromadiolon | Difethialon | Flocoumafen |
Interessant sind die Unterschiede in der Toxizität, angegeben als LD50 Ratte (oral). Das Flocoumafen ist z.B. 800 mal toxischer als das Phenprocoumon.
| Tromexan | 840 mg/kg |
| Acenocumarol | 513 mg/kg |
| Cumarin | 293 mg/kg |
| Dicumarol | 250 mg/kg |
| Phenprocoumon | 200 mg/kg |
| Coumatetralyl | 30 mg/kg |
| Warfarin | 8,7 mg/kg |
| Difenacoum | 0,68 mg/kg |
| Difethialon | 0,56 mg/kg |
| Bromadiolon | 0,49 mg/kg |
| Brodifacoum | 0,3 mg/kg |
| Flocoumafen | 0,25 mg/kg |
Die folgende Animation zeigt die 9 Wirkstoffe Phenprocoumon, Warfarin, Acenocumarol, Coumatetralyl, Difenacoum, Brodifacoum, Bromadiolon, Difethialon und Flocoumafen.

Und war macht man bei einer Überdosierung oder einer Vergiftung? Da es sich bei diesen Verbindungen um Vitamin K Antagonisten handelt gibt man Vitamin K als Gegengift.
| [zurück] | [Startseite] | [vor] |