| [zurück] | MRT Kontrastmittel |
[vor] |
Bei einer MRT Untersuchung habe ich das Kontrastmittel Dotavision mit dem Wirkstoff Gadotersäure bekommen.
Diese Kontrastmittel enthalten das seltene Erden Element Gadolinium, es ist stark paramagnetisch und verbessert die Bildqualität. Da freie Gadolinium Ionen stark toxisch sind werden sie als Chelatkomplexe eingesetzt.
Gadotersäure (Gadolinium-DOTA)
| Name | Gadotersäure |
| Name (IUPAC) | Gadolinium(III)-2-[4,7,10-tris(carboxymethyl)-1,4,7,10-tetrazacyclododec-1-yl]essigsäure |
| CAS Nr. | 72573-82-1 |
| Summenformel | C16H25GdN4O8 |
| Molare Masse | 558,7 |
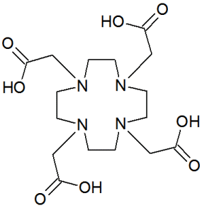
Gadotersäure leitet sich vom DOTA ab das aus Cyclen (1,4,7,10-Tetraazacyclododecan) hergestellt wird.
![]() |
![]() |
| DOTA | Cyclen |
Die folgende Animation zeigt alle drei Verbindungen.

Ähnliche Verbindungen sind Gadobutrol und Gadoteridol, lineare Komplexe werden nicht mehr eingesetzt.
![]() |
![]() |
![]() |
| Gadotersäure | Gadobutrol | Gadoteridol |
Die folgende Animation zeigt alle drei Wirkstoffe.

| [zurück] | [Startseite] | [vor] |