| [zurück] | 2. de Rham Kurve Formel 2 |
[vor] |
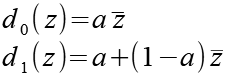
Diese Formel habe ich hier [1; 2] gefunden.
![]()


a = 0,60 + 0,37i 1 Million Punkte

a = 0,60 + 0,45i 5 Millionen Punkte

a = 0,50 + 0,50i 2 Millionen Punkte

a = 0,18 + 0,35i 10 Millionen Punkte

a = 0,75 + 0,35i 10 Millionen Punkte
| [zurück] | [Inhaltsverzeichnis] | [vor] |