| [zurück] | 38. Golden Dragon |
[vor] |
Den Golden Dragon habe ich hier [45] gefunden.
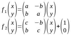
In der folgenden Abbildung wurde jeder Funktion eine Farbe zugewiesen.

Die Berechnung erfolgt durch folgendes IFS.
![]() |
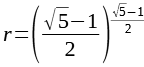
mit | ![]() ![]() ![]() ![]() |
| [zurück] | [Inhaltsverzeichnis] | [vor] |