| [zurück] | 10. Koch Kurve |
[vor] |
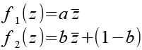
Diese Formel habe ich hier [14] gefunden.
![]()

mit
![]()

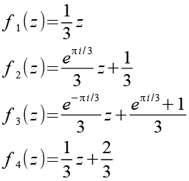
Diese Formel habe ich hier [15] gefunden.
![]()

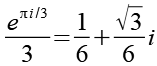
Mit Hilfe der Eulerschen Formel [23] läßt sich die e Funktion auch durch eine normale komplexe Zahl ausdrücken.
![]()
![]()
![]()

![]()

Diese Formel habe ich hier [42] gefunden.
In der folgenden Abbildung wurde jeder Funktion eine Farbe zugewiesen.

Eine etwas andere Form habe ich hier [41] gefunden.
In der folgenden Abbildung wurde jeder Funktion eine Farbe zugewiesen.

| [zurück] | [Inhaltsverzeichnis] | [vor] |