| [zurück] | 5. Levy Kurven |
[vor] |
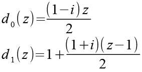
Die Formel für die Levy Kurve habe ich hier [] gefunden.
![]()

In der folgenden Abbildung wurde jeder Funktion eine Farbe zugewiesen.
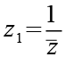
Mit einer zusätzlichen Kreisinversion
![]()

bekommt man ein interessantes Bild.
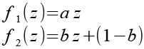
Mit einer zusätzlichen Möbiustransformation
![]()

bekommt man ebenfalls ein interessantes Bild.
Ich habe in der ursprünglichen Formel ein Vorzeichen geändert und aus der Levy Kurve wird eine Drachenkurve.
![]()

In der folgenden Abbildung wurde jeder Funktion eine Farbe zugewiesen.
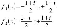
Mit einer zusätzlichen Möbiustransformation
![]()

bekommt man ebenfalls ein interessantes Bild.
Eine andere Formel für die Levy Kurve habe ich hier [14] gefunden.
![]()

mit
![]()

Die Formel für den Levy Dragon habe ich hier [15] gefunden.
![]()

| [zurück] | [Inhaltsverzeichnis] | [vor] |