[zurück]

21. Scorpion

[vor]

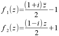
Diese Formel habe ich hier [22] gefunden.

In der folgenden Abbildung wurde jeder Funktion eine Farbe zugewiesen.


[zurück] [Inhaltsverzeichnis] [vor]