| [zurück] | 12. Sirpinski Dreieck |
[vor] |
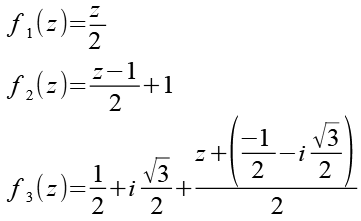
Diese Formel habe ich hier [12] gefunden.
![]()

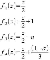
Diese Formel habe ich hier [] gefunden.
![]()

In der folgenden Abbildung wurde jeder Funktion eine Farbe zugewiesen.
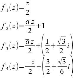
Diese Formel habe ich hier [22] gefunden.
![]()

mit
![]()

In der folgenden Abbildung wurde jeder Funktion eine Farbe zugewiesen.

Zum Schluß noch ein paar Abwandlungen vom Sierpinski Dreieck.
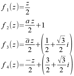
Diese Formel habe ich hier [22] gefunden.
![]()

mit
![]()

In der folgenden Abbildung wurde jeder Funktion eine Farbe zugewiesen.
Die Formel für den "Curved Arrow" habe ich hier [22] gefunden.
![]()

mit
![]()

In der folgenden Abbildung wurde jeder Funktion eine Farbe zugewiesen.
Die Formel für den "Triangle Arrow" habe ich hier [22] gefunden.
![]()

mit
![]()

In der folgenden Abbildung wurde jeder Funktion eine Farbe zugewiesen.
| [zurück] | [Inhaltsverzeichnis] | [vor] |