| [zurück] | 13. Sierpinski Teppich |
[vor] |
Diese Formel habe ich hier [15] gefunden, dafür habe ich die dort beschriebene Peano Kurve etwas modifiziert.
![]()

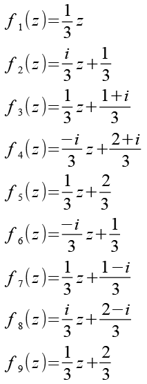
Eine andere Berechnung erfolgt durch folgendes IFS.
![]() |
| a | b | c | d | e | f |
| 0.333 | 0.000 | 0.000 | 0.333 | -0.125 | 6.750 |
| 0.333 | 0.000 | 0.000 | 0.333 | -3.375 | 0.250 |
| 0.333 | 0.000 | 0.000 | 0.333 | -3.375 | 6.750 |
| 0.333 | 0.000 | 0.000 | 0.333 | 3.125 | 0.250 |
| 0.333 | 0.000 | 0.000 | 0.333 | 3.125 | 6.750 |
| 0.333 | 0.000 | 0.000 | 0.333 | -3.375 | 3.500 |
| 0.333 | 0.000 | 0.000 | 0.333 | -0.125 | 0.250 |
| 0.333 | 0.000 | 0.000 | 0.333 | 3.125 | 3.500 |
| [zurück] | [Inhaltsverzeichnis] | [vor] |