| [zurück] | 10.10. 12 6-Eck Prismen |
[vor] |
12 6-Eck Prismen lassen sich zu einem Ring anordnen.
![]() |
![]() |
| Anzahl Ecken | 96 |
| Anzahl Flächen | 48 Vierecke 24 Dreiecke |
Die Seitenansichten.



Bei den nächsten Abbildungen habe ich die Prismen unterschiedlich gefärbt.
![]() |
![]() |
![]() |
![]() |
Die Prismen sind in einem Sechseck angeordnet.

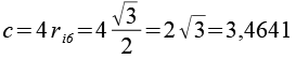
Für die Berechnung nutzen wir ein rechtwinkliges Dreieck.

Für das Dreieck gilt.



| [zurück] | [Inhaltsverzeichnis] | [vor] |