| [zurück] | Interessante Mathe Aufgaben |
[vor] |
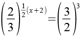
![]()
(Gl. 1)
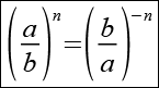
Es gilt:
![]()

So können wir die Wurzel in eine Potenz umwandeln.
![]()
(Gl. 2)
Es gilt:
![]()

Die Potenzen können wir zusammenfassen.
![]()
(Gl. 3)
Die rechte Seite der Gleichung drücken wir ebenfalls durch Potenzen aus. 27 = 33 und 8 = 23.
![]()
(Gl. 4)
Es gilt:
![]()

![]()
(Gl. 5)
Es gilt:
![]()

Auf beiden Seiten der Gleichung haben die Potenzen jetzt die gleiche Basis.
![]()
(Gl. 6)
Es gilt:
![]()

Für die Lösung der Gleichung reicht es jetzt aus die Exponenten gleichzusetzen.
![]()
(Gl. 7)
![]()
(Gl. 8)
![]()
(Gl. 9)
Zur Kontrolle setzen wir die Lösung (Gl. 9) in Gleichung 1 ein.
![]()
(Gl. 10)
Es gilt wieder:
![]()
und 
![]()
(Gl. 11)
| [zurück] | [Inhaltsverzeichnis] | [vor] |