[zurück]

Interessante Mathe Aufgaben

[vor]

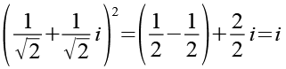
      (Gl. 1)

Das Ergebnis sollte eine komplexe Zahl sein.

      (Gl. 2)

Wir quadrieren beide Seiten.

      (Gl. 3)

Die Klammern werden ausmultipliziert.

      (Gl. 4)

Die Gleichung stellen wir etwas um.

      (Gl. 5)

      (Gl. 6)

Gl. 6 ist erfüllt wenn.

      (Gl. 7)     und

      (Gl. 8)

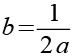
Wir lösen Gl. 8 nach b auf.

      (Gl. 9)

Gl. 9 setzen wir in Gl. 7 ein.

      (Gl. 10)

Die Gleichung stellen wir etwas um.

      (Gl. 11)

Beide Seiten multiplizieren wir mit a2.

      (Gl. 12)

Auf beiden Seiten ziehen wir die Wurzel.

      (Gl. 13)

      (Gl. 14)

Auf beiden Seiten ziehen wir die Wurzel.

      (Gl. 15)

Gl. 15 setzen wir in Gl. 9 ein.

      (Gl. 16)

      (Gl. 17)

Nach Gl. 8 müssen a und b das gleiche Vorzeichen haben, so erhalten wir für Gl. 1 zwei Lösungen.

      (Gl. 18)

      (Gl. 19)

Gl. 18 und Gl. 19 können wir auch anders schreiben.

      (Gl. 20)


Zur Kontrolle quadrieren wir die Lösungen Gl. 18 und Gl. 19.

Es gilt:

      (Gl. 21)

Für Gl. 18 erhalten wir.

      (Gl. 22)

Für Gl. 19 erhalten wir.

      (Gl. 23)


Ein alternativer Lösungsweg führt über die Eulersche Formel.

Es gilt:

      (Gl. 24)

Für

      (Gl. 25)

gilt:

      (Gl. 26)

      (Gl. 27)

Gl. 25, Gl. 26 und Gl. 27 setzten wir in Gl. 24 ein.

      (Gl. 28)

Auf beiden Seiten ziehen wir die Wurzel.

      (Gl. 29)

Es gilt:

      (Gl. 30)

Mit Hilfe von Gl. 30 erhalten wir aus Gl. 29.

      (Gl. 31)

Es gilt:

      (Gl. 32)

Mit Hilfe von Gl. 32 und Gl. 24 erhalten wir aus Gl. 31.

      (Gl. 33)

Für den Sinus und Cosinus gilt.

      (Gl. 34)

      (Gl. 35)

Gl. 34 und Gl. 35 setzen wir in Gl. 33 ein und erhalten die Lösung.

      (Gl. 18)


[zurück] [Inhaltsverzeichnis] [vor]