[zurück]

Interessante Mathe Aufgaben

[vor]

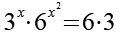
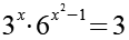
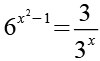
      (Gl. 1)

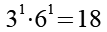
Die 18 ersetzen wir durch 6*3.

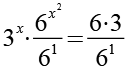
      (Gl. 2)

Beide Seiten teilen wir durch 6.

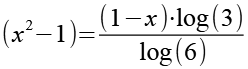
      (Gl. 3)

Es gilt:

      (Gl. 4)

Mit Hilfe von Gl. 4 erhalten wir aus Gl. 3.

      (Gl. 5)

Beide Seiten teilen wir durch 3x.

      (Gl. 6)

Mit Hilfe von Gl. 4 erhalten wir aus Gl. 6.

      (Gl. 7)

Auf beiden Seiten wenden wir den Logarithmus an.

      (Gl. 8)

Es gilt:

      (Gl. 9)

Mit Hilfe von Gl. 9 erhalten wir aus Gl. 8.

      (Gl. 10)

Beide Seiten teilen wir durch log(6).

      (Gl. 11)

Zur Vereinfachung führen wir die Konstante a ein.

      (Gl. 12)

Mit Hilfe von Gl. 12 erhalten wir aus Gl. 11.

      (Gl. 13)

Auf beiden Seiten subtrahieren wir (1-x)a.

      (Gl. 14)

Die 1 ersetzen wir durch 12.

      (Gl. 15)

Es gilt:

      (Gl. 16)

Mit Hilfe von Gl. 16 erhalten wir aus Gl. 15.

      (Gl. 17)

Wir können (x-1) ausklammern und erhalten.

      (Gl. 18)

Beide Klammern können wir separat gleich Null setzen und lösen.

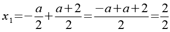
      (Gl. 19)

Wir erhalten die erste Lösung x1.

      (Gl. 20)

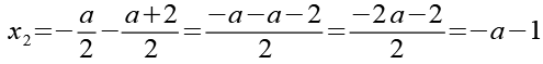
Für die zweite Lösung erhalten wir.

      (Gl. 21)

      (Gl. 22)

      (Gl. 23)


Zur Kontrolle setzen wir x1 in Gl. 1 ein.

      (Gl. 24)

Zur Kontrolle setzen wir x2 in Gl. 1 ein.

      (Gl. 25)

      (Gl. 26)

      (Gl. 27)


Anhang

Alternativ betrachten wir Gl. 14 als quadratische Gleichung.

      (Gl. 28)

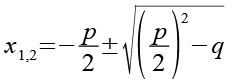
Für die Lösung der quadratischen Gleichung gilt:

      (Gl. 29)

      (Gl. 30)

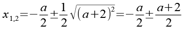
Gl. 30 wenden wir auf Gl. 28 an.

      (Gl. 31)

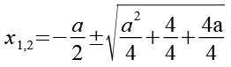
Den Ausdruck unter der Wurzel bringen wir auf den Hauptnenner 4.

      (Gl. 32)

Den Ausdruck unter der Wurzel stellen wir etwa um.

      (Gl. 33)

Es gilt:

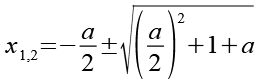
      (Gl. 34)

Mit Hilfe von Gl. 34 erhalten wir aus Gl. 33.

      (Gl. 35)

      (Gl. 36)

      (Gl. 20)

      (Gl. 37)

      (Gl. 23)


[zurück] [Inhaltsverzeichnis] [vor]