[zurück]

Interessante Mathe Aufgaben

[vor]

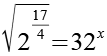
      (Gl. 1)

Es gilt:

      (Gl. 2)

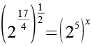
Die 4 ersetzen wir durch 22, mit Hilfe von Gl. 2 erhalten wir.

      (Gl. 3)

Es gilt:

      (Gl. 4)

Mit Hilfe von Gl. 4 erhalten wir aus Gl. 3.

      (Gl. 5)

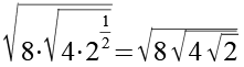
      (Gl. 6)

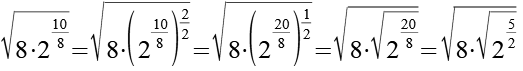
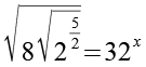
Die 8 ersetzen wir durch 23, mit Hilfe von Gl. 2 erhalten wir aus Gl. 6.

      (Gl. 7)

      (Gl. 8)

      (Gl. 9)

      (Gl. 10)

      (Gl. 11)

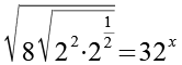
      (Gl. 12)

      (Gl. 13)

      (Gl. 14)

Beide Potenzen haben mit 2 die gleiche Basis, daher können wir die Exponenten gleichsetzen.

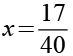
      (Gl. 15)

      (Gl. 16)


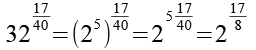
Zur Kontrolle setzten wir Gl. 16 in Gl. 1 ein und machen den Rechengang im Prinzip wieder rückgängig.

      (Gl. 17)

Es gilt:

      (Gl. 18)

      (Gl. 19)

      (Gl. 20)

      (Gl. 21)

      (Gl. 22)

      (Gl. 23)


[zurück] [Inhaltsverzeichnis] [vor]