[zurück]

Interessante Mathe Aufgaben

[vor]

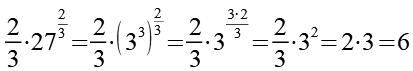
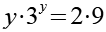
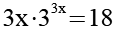
      (Gl. 1)

Die 27 ersetzen wir durch 33.

      (Gl. 2)

Es gilt:

      (Gl. 3)

Mit Hilfe von Gl. 2 erhalten wir.

      (Gl. 4)

Beide Seiten multiplizieren wir mit 3.

      (Gl. 5)

3x substituieren wir mit y.

      (Gl. 6)

G. 6 setzen wir in Gl. 5 ein, die 18 ersetzen wir durch 2*9.

      (Gl. 7)

Die 9 ersetzen wir durch 32.

      (Gl. 8)

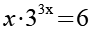
Beide Seiten haben den gleichen Aufbau, daraus kann man y ableiten.

      (Gl. 9)

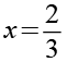
Mit Hilfe von Gl. 6 erhalten wir x.

      (Gl. 10)


Zur Kontrolle setzen wir Gl. 10 in Gl. 1 ein.

      (Gl. 11)


[zurück] [Inhaltsverzeichnis] [vor]