[zurück]

Interessante Mathe Aufgaben

[vor]

Bei dieser Aufgabe geht es nicht darum eine Gleichung zu lösen sondern den Ausdruck ohne Benutzung eines Taschenrechners zu vereinfachen.

      (Gl. 1)

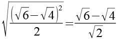
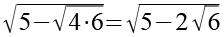
Es gilt.

      (Gl. 2)

Mit Hilfe von Gl. 2 erhalten wir.

      (Gl. 3)

      (Gl. 4)

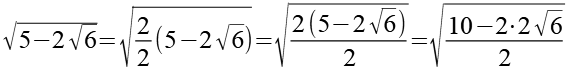
Den Ausdruck unter der Wurzel multiplizieren wir mit 2/2.

      (Gl. 5)

      (Gl. 6)

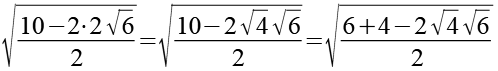
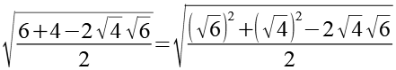
Die 10 ersetzen wir durch 6+4 und eine 2 ersetzen wir durch Wurzel aus 4.

      (Gl. 7)

Die 6 und die 4 ersetzen wir durch das Quadrat der Wurzel.

      (Gl. 8)

      (Gl. 9)

Gl. 8 und Gl. 9 setzen wir in Gl. 7 ein.

      (Gl. 10)

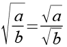
Es gilt.

      (Gl. 11)

Mit Hilfe von Gl. 11 erhalten wir aus Gl. 10.

      (Gl. 12)

Es gilt.

      (Gl. 13)

Mit Hilfe von Gl. 13 erhalten wir aus Gl. 12.

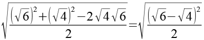
      (Gl. 14)

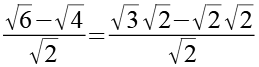
Die Wurzel aus 6 und Wurzel aus 4 drücken wir anders aus.

      (Gl. 15)

      (Gl. 16)

Gl. 15 und Gl. 16 setzen wir in Gl. 14 ein.

      (Gl. 17)

Wurzel aus 2 können wir ausklammern und kürzen.

      (Gl. 18)

So erhalten wir das gewünschte Ergebnis.

      (Gl. 19)


[zurück] [Inhaltsverzeichnis] [vor]