| [zurück] | Interessante Mathe Aufgaben |
[vor] |
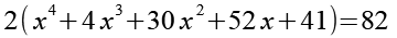
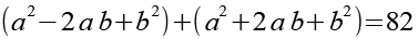
![]()
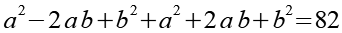
(Gl. 1)
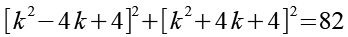
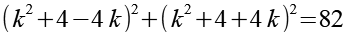
Die -1 ersetzen wir durch 1-2 und die 3 ersetzen wir durch 1+2.
![]()
(Gl. 2)
Wir substituieren x+1 durch k.
![]()
(Gl. 3)
Gl. 3 setzen wir in Gl. 2 ein.
![]()
(Gl. 4)
Die 4 im Exponent ersetzen wir durch 2*2.
![]()
(Gl. 5)
Es gilt.
![]()
(Gl. 6)
Mit Hilfe von Gl. 6 erhalten wir aus Gl. 5.
![]()
(Gl. 7)
Es gilt.
![]()
(Gl. 8)
![]()
(Gl. 9)
Gl. 8 und Gl. 9 wenden wir auf Gl. 7 an.
![]()
(Gl. 10)
Die Klammern ordnen wir etwas anders an.
![]()
(Gl. 11)
Wir substituieren k2+4 durch a und 4k durch b.
![]()
(Gl. 12)
![]()
(Gl. 13)
Gl. 12 und Gl. 13 setzen wir in Gl. 11 ein.
![]()
(Gl. 14)
Mit Hilfe von Gl. 8 und Gl. 9 erhalten wir aus Gl. 14.
![]()
(Gl. 15)
![]()
(Gl. 16)
Gl. 16 läßt sich vereinfachen.
![]()
(Gl. 17)
Die 2 können wir ausklammern.
![]()
(Gl. 18)
Beide Seiten teilen wir durch 2.
![]()
(Gl. 19)
Wir setzen Gl. 12 und Gl. 13 wieder in Gl. 19 ein.
![]()
(Gl. 20)
Wir multiplizieren die Klammern aus und sortieren die Gleichung.
![]()
(Gl. 21)
![]()
(Gl. 22)
![]()
(Gl. 23)
Wir substituieren k2 mit m.
![]()
(Gl. 24)
So erhalten wir eine quadratische Gleichung.
![]()
(Gl. 25)
Die 24m ersetzen wir durch 25m-m.
![]()
(Gl. 26)
Wir klammern einmal m und einmal -1 aus.
![]()
(Gl. 27)
Jetzt können wir m+25 ausklammern.
![]()
(Gl. 28)
Jetzt können wir beide Klammern gleich Null setzen und erhalten die beiden Lösungen m1 und m2.
![]()
(Gl. 29)
![]()
(Gl. 30)
![]()
(Gl. 31)
![]()
(Gl. 32)
m1 und m2 setzen wir nacheinander in Gl. 24 ein.
![]()
(Gl. 33)
![]()
(Gl. 34)
![]()
(Gl. 35)
![]()
(Gl. 36)
![]()
(Gl. 37)
![]()
(Gl. 38)
Die beiden Ergebnisse für k setzen wir in Gl. 3 ein. Fangen wir mit Gl. 35 an.
![]()
(Gl. 39)
![]()
(Gl. 40)
Wir erhalten die beiden ersten Löungen x1 und x2, beide sind komplex.
![]()
(Gl. 41)
![]()
(Gl. 42)
Gl. 38 setzen wir in Gl. 3 ein.
![]()
(Gl. 43)
Wir erhalten die letzten beiden Löungen x4 und x4.
![]()
(Gl. 44)
![]()
(Gl. 45)
Alle 4 Löungen.
![]()
![]()
![]()
![]()

Kontrolle
Zur Kontrolle setzen wir die 4 Lösungen in Gl. 1 ein.
![]()
(Gl. 41)
x1 setzen wir in Gl. 1 ein.
![]()
(Gl. 46)
Es gilt.
![]()
(Gl. 47)
Mit Hilfe von Gl. 47 erhalten wir für die erste komplexe Zahl.
![]()
(Gl. 48)
![]()
(Gl. 49)
Mit Hilfe von Gl. 47 erhalten wir für die zweite komplexe Zahl.
![]()
(Gl. 50)
![]()
(Gl. 51)
Wir addieren Gl. 49 und Gl. 51 und erhalten wieder 82.
![]()
(Gl. 52)
x2 setzen wir in Gl. 1 ein.
![]()
(Gl. 42)
![]()
(Gl. 53)
![]()
(Gl. 54)
![]()
(Gl. 55)
![]()
(Gl. 56)
![]()
(Gl. 57)
Wir erhalten wieder 82.
![]()
(Gl. 58)
x3 setzen wir in Gl. 1 ein.
![]()
(Gl. 44)
![]()
(Gl. 59)
![]()
(Gl. 60)
Wir erhalten wieder 82.
![]()
(Gl. 61)
x4 setzen wir in Gl. 1 ein.
![]()
(Gl. 45)
![]()
(Gl. 62)
![]()
(Gl. 63)
Wir erhalten wieder 82.
![]()
(Gl. 64)
Anhang
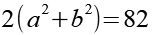
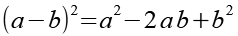
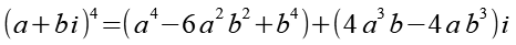
Alternativ können wir Gl. 1 natürlich auch stur ausmultiplizieren.
![]()
(Gl. 1)
Es gilt.
![]()
(Gl. 65)
![]()
(Gl. 66)
Für die erste Klammer erhalten wir.
![]()
(Gl. 67)
Für die zweite Klammer erhalten wir.
![]()
(Gl. 68)
Gl. 67 und Gl. 68 setzen wir in Gl. 1 ein.
![]()
(Gl. 69)
![]()
(Gl. 70)
![]()
(Gl. 71)
![]()
(Gl. 72)
![]()
(Gl. 73)
![]()
(Gl. 74)
![]()
(Gl. 75)
Wir erhalten ein Polynom 3. Grades.
![]()
(Gl. 76)
| [zurück] | [Inhaltsverzeichnis] | [vor] |