[zurück]

Interessante Mathe Aufgaben

[vor]

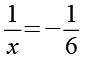
      (Gl. 1)

Die 125 ersetzen wir durch 53.

      (Gl. 2)

Es gilt:

      (Gl. 3)

Mit Hilfe von Gl. 3 erhalten wir aus Gl. 2.

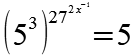
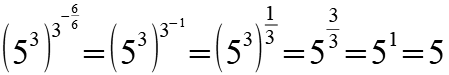
      (Gl. 4)

Beide Seiten haben mit 5 die gleiche Basis, wir setzen daher die Exponenten gleich.

      (Gl. 5)

Beide Seiten teilen wir durch 3.

      (Gl. 6)

Es gilt:

      (Gl. 7)

Die 27 ersetzen wir durch 33, auf der rechen Seite wenden wir Gl. 7 an.

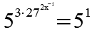
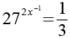
      (Gl. 8)

Mit Hilfe von Gl. 3 erhalten wir aus Gl. 8.

      (Gl. 9)

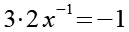
Beide Seiten haben mit 3 die gleiche Basis, wir setzen daher die Exponenten gleich.

      (Gl. 10)

      (Gl. 11)

Beide Seiten teilen wir durch 6.

      (Gl. 12)

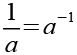
      (Gl. 13)

Auf beiden Seiten bilden wir den Kehrwert und erhalten die Lösung.

      (Gl. 14)


Zur Kontrolle setzen wir Gl. 14 in Gl. 1 ein.

      (Gl. 15)

      (Gl. 16)


[zurück] [Inhaltsverzeichnis] [vor]