| [zurück] | Interessante Mathe Aufgaben |
[vor] |
Bei dieser Aufgabe geht es nicht darum eine Gleichung zu lösen sondern den Ausdruck ohne Benutzung eines Taschenrechners zu vereinfachen.
![]()
(Gl. 1)
Die 3 ziehen wir vor das Summenzeichen.
![]()
(Gl. 2)
Die Laufvariable multiplizieren wir mit 4, den Faktor vor dem Summenzeichen müssen wir entsprechend durch 4 teilen.
![]()
(Gl. 3)
Um die Laufvariable zu vereinfachen addieren wir zum Zähler 4n-4n, der Wert der LKaufvariable wir dadurch nicht verändert da 4n-4n gleich Null ist.
![]()
(Gl. 4)
Die 4 auf der rechten Seite ersetzen wir durch 3+1.
![]()
(Gl. 5)
Die rechte Seite ordnen wir etwas anders an.
![]()
(Gl. 6)
![]()
(Gl. 7)
Gl. 7 setzen wir in Gl. 3 ein.
![]()
(Gl. 8)
Die Laufvariable können wir in eine Summe aus zwei Brüchen aufspalten.
![]()
(Gl. 9)
In jedem Bruch läßt sich eine Klammer kürzen.
![]()
(Gl. 10)
Wir definieren eine Funktion f(n).
![]()
(Gl. 11)
Durch Einsetzen von n+1 erzeugen wir daraus die Funktion f(n+1).
![]()
(Gl. 12)
Gl. 11 und Gl. 12 setzen wir in Gl. 10 ein.
![]()
(Gl. 13)
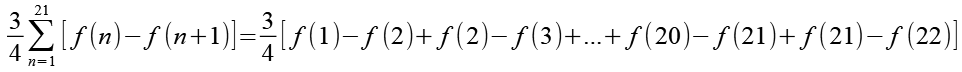
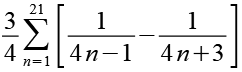
Wir führen die Summenfunktion aus (n=1 bis n=21).
![]()
(Gl. 14)
Bis auf f(1) und f(22) heben sich benachbarte Glieder auf, z.B. -f(2)+f(2). Wir erhalten als Resultat.
![]()
(Gl. 15)
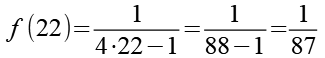
Für f(1) und f(22) erhalten wir.
![]()
(Gl. 16)
![]()
(Gl. 17)
Gl. 16 und Gl. 17 setzen wir in Gl. 15 ein.
![]()
(Gl. 18)
Das Ergebnis.
![]()
(Gl. 19)
Anhang 1
Untersuchen wir die Konvergenz der Reihe.
| n | |
|
1 2 3 4 5 6 7 8 9 10 11 12 13 14 15 16 17 18 19 20 21 |
0,142857142857 0,181818181818 0,200000000000 0,210526315789 0,217391304348 0,222222222222 0,225806451613 0,228571428571 0,230769230769 0,232558139535 0,234042553191 0,235294117647 0,236363636364 0,237288135593 0,238095238095 0,238805970149 0,239436619718 0,240000000000 0,240506329114 0,240963855422 0,241379310345 |
Anhang 2
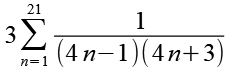
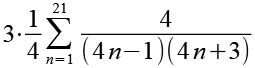
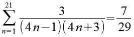
Bei 21 Reihengliedern kann man das Ergebnis auch direkt berechnen.
![]()

![]()
(Gl. 20)
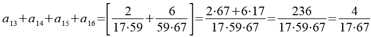
Die Brüche wurden nummeriert (a1 bis a21).
![]()
(Gl. 21)
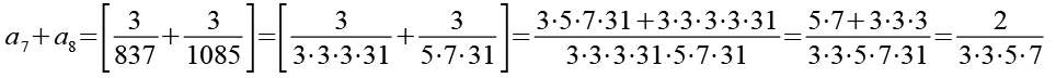
Die Brüche werden zuerst paarweise addiert. Um das Kürzen zu vereinfachen habe ich bei den Nennern die Primfaktorzerlegung eingesetzt.
![]()
(Gl. 22)
![]()
(Gl. 23)
![]()
(Gl. 24)
![]()
(Gl. 25)
![]()
(Gl. 26)
![]()
(Gl. 27)
![]()
(Gl. 28)
![]()
(Gl. 29)
![]()
(Gl. 30)
![]()
(Gl. 31)
![]()
(Gl. 32)
Im zweiten Schritt werden die ersten 11 Teilsummen addiert.
![]()
(Gl. 33)
![]()
(Gl. 34)
![]()
(Gl. 35)
![]()
(Gl. 36)
![]()
(Gl. 37)
![]()
(Gl. 38)
Im dritten Schritt werden die zweiten 6 Teilsummen addiert.
![]()
(Gl. 39)
![]()
(Gl. 40)
![]()
(Gl. 41)
Im vierten Schritt werden die dritten 3 Teilsummen addiert.
![]()
(Gl. 42)
| [zurück] | [Inhaltsverzeichnis] | [vor] |