| [zurück] | Interessante Mathe Aufgaben |
[vor] |
![]()
(Gl. 1)
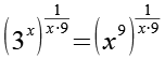
Die Variable x befindet sich auf beiden Seiten der Gleichung, davon einmal im Exponent. Um x auf einer Seite zu eliminieren potenzieren wir beide Seiten mit 1/9x.
![]()
(Gl. 2)
Es gilt:
![]()

![]()
(Gl. 3)
Durch Kürzen erhalten wir.
![]()
(Gl. 4)
Den Exponent auf der linken Seite multiplizieren wir mit 1 bzw. 3/3.
![]()
(Gl. 5)
Den Nenner des Exponenten multiplizieren wir aus.
![]()
(Gl. 6)
Es gilt:
![]()

![]()
(Gl. 7)
Wir ersetzen 33 durch 27.
![]()
(Gl. 8)
Daraus ergibt sich automatisch die Lösung.
![]()
(Gl. 9)
Zur Kontrolle setzen wir die Lösung Gl 9 in Gl. 1 ein.
![]()
(Gl. 10)
![]()
(Gl. 11)
![]()
(Gl. 12)
![]()
(Gl. 13)
Neben der 27 existiert mit 1,15082482130110 noch eine weitere Lösung.
| [zurück] | [Inhaltsverzeichnis] | [vor] |