| [zurück] | Interessante Mathe Aufgaben |
[vor] |
Bei dieser Aufgabe geht es darum eine periodische Dezimalzahl in einen Bruch umzuwandeln.
![]()

Zuerst analysieren wir die Zahl und bestimmen die Periode.
![]()

Wir multipßlizieren die Zahl so lange mit 10 bis die Periode das Komma erreicht, bei diesem Beispiel reicht einmal 10.
![]()

Wir multipßlizieren die Zahl so lange mit 10 bis die Periode auch auf der linken Seite des Kommas steht, bei diesem Beispiel reicht zweimal mit 10 (100).
![]()

Jetzt ziehen wir die kleine Zahl von der größeren Zahl ab.
![]()

Auf der rechten Seite fallen die Kommastellen weg.
![]()

Beide Seiten teilen wir durch 90.
![]()

Setzt müssen wir nur noch den Bruch kürzen.
![]()

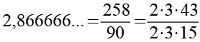
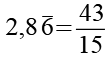
Dieser Lösungsweg läßt sich auch einfacher darstellen. Wir benutzen dazu die Schreibweise bei der die Periode durch einen Überstrich markiert ist. Auf den Bruchstrich schreibt man die komplette Zahl ohne Komma (286). Davon wird die Zahl ohne die Periode (28) abgezogen. Die Länge der Periode beträgt bei diesem Beispiel 1, dafür schreiben wir eine 9 in den Nenner (bei einer Periodenlänge von 3 wäre es dann 999). Unsere Zahl hat hinter dem Komma eine Ziffer (8) die nicht zur Periode gehört, dafür schreiben wir eine 0 in den Nenner.
![]()

Setzt müssen wir nur noch den Bruch kürzen.
![]()

Anhang
Alle Brüche 1/n bis n=100. Die Perioden sind nicht durch einen Überstrich gekennzeichnet sondern sind Fett dargestellt. Nichtperiodische Brüche sind blau dargestellt.
| n | 1/n | Periodenlänge |
|
1 2 3 4 5 6 7 8 9 10 11 12 13 14 15 16 17 18 19 20 21 22 23 24 25 26 27 28 29 30 31 32 33 34 35 36 37 38 39 40 41 42 43 44 45 46 47 48 49 50 51 52 53 54 55 56 57 58 59 60 61 62 63 64 65 66 67 68 69 70 71 72 73 74 75 76 77 78 79 80 81 82 83 84 85 86 87 88 89 90 91 92 93 94 95 96 97 98 99 100 |
1,0 0,5 0,3 0,25 0,2 0,16 0,142857 0,125 0,1 0,1 0,09 0,083 0,076923 0,0714285 0,06 0,0625 0,0588235294117647 0,05 0,052631578947368421 0,05 0,047619047619 0,045 0,0434782608695652173913 0,0416 0,04 0,0384615 0,037 0,0357142857 0,0344827586206896551724137931 0,03 0.032258064516129 0,03125 0,03 0,02941176470588235 0,0285714 0,027 0,027 0,0263157894736842105 0,025641 0,025 0,02439 0,0238095 0,023255813953488372093 0,0227 0,02 0,02173913043478260869565 0,0212765957446808510638297872340425531914893617 0,02083 0,020408163265306122448979591836734693877551 0,02 0,0196078431372549 0,01923076 0,0188679245283 0,0185 0,018 0,017857142 0,017543859649122807 0,01724137931034482758620689655 0,0169491525423728813559322033898305084745762711864406779661 0,016 0,016393442622950819672131147540983606557377049180327868852459 0,0161290322580645 0,015873015873 0,015625 0,0153846 0,015 0,014925373134328358208955223880597 0,014705882352941176 0,0144927536231884057971 0,0142857 0,01408450704225352112676056338028169 0,0138 0,01369863 0,0135 0,013 0,01315789473684210526 0,012987 0,0128205 0,0126582278481 0,0125 0,012345679 0,012195 0,012048192771084337349397590361445783132530120481928 0,01204819277108433734939759036144578313253 0,01176470588235294 0,0116279069767441860465 0,0114942528735632183908045977 0,01136 0,01123595505617977528089887640449438202247191 0,01 0,010989 0,010869565217391304347826 0,010752688172043 0,01063829787234042553191489361702127659574468085 0,0105263157894736842 0,010416 0,010309278350515463917525773195876288659793814432989690721649484536082474226804123711340206185567 0,0102040816326530612244897959183673469387755 0,01 0,01 |
0 0 1 0 0 1 6 0 1 0 1 1 6 6 1 0 16 1 18 0 12 2 22 1 0 6 3 6 28 1 15 0 2 16 6 1 3 18 6 0 5 6 21 2 1 22 46 1 42 0 16 7 13 3 2 6 18 28 58 1 60 15 12 0 6 2 33 16 22 6 35 1 8 3 1 18 6 6 13 0 9 5 51 41 16 21 28 2 44 1 6 22 15 46 18 1 96 42 2 0 |
| [zurück] | [Inhaltsverzeichnis] | [vor] |