[zurück]

Interessante Mathe Aufgaben

[vor]

Bei dieser Aufgabe geht es nicht darum eine Gleichung zu lösen sondern den Ausdruck ohne Benutzung eines Taschenrechners zu vereinfachen.

      (Gl. 1)

Die 1 in Gl. 1 ersetzen wir durch -1+2.

      (Gl. 2)

Die 1 in Gl. 2 ersetzen wir durch 12.

      (Gl. 3)

Es gilt.

      (Gl. 4)

Mit Hilfe von Gl. 4 erhalten wir.

      (Gl. 5)

Wir multiplizieren die Klammer mit n!.

      (Gl. 6)

Es gilt.

      (Gl. 7)

Mit Hilfe von Gl. 7 erhalten wir.

      (Gl. 8)

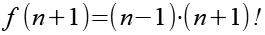
Wir definieren eine Funktion f(n).

      (Gl. 9)

Das n in Gl. 9 ersetzen wir durch n+1 und erhalten die Funktion f(n+1).

      (Gl. 10)

      (Gl. 11)

Gl. 9 und Gl. 11 setzen wir in Gl. 8 ein.

      (Gl. 12)

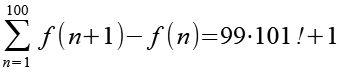
Wir führen die Summenfunktion aus (n=1 bis n=100).

      (Gl. 13)

Die Glieder der Reihe ordnen wir anders an.

      (Gl. 14)

Bis auf das erste und letze Glied heben sich benachbarte Glieder auf.

      (Gl. 15)

Aus Gl. 9 bilden wir f(1) und f(101).

      (Gl. 16)

      (Gl. 17)

Gl. 16 und Gl. 17 setzen wir in Gl. 15 ein.

      (Gl. 18)

Das Ergebnis.

      (Gl. 19)


[zurück] [Inhaltsverzeichnis] [vor]