| [zurück] | Interessante Mathe Aufgaben |
[vor] |
![]()
(Gl. 1)
Zuerst fassen wir Zähler und Nenner zusammen.
![]()
(Gl. 2)
Beide Seiten multiplizieren wir mit 4.
![]()
(Gl. 3)
Auf der linken Seite können wir x kürzen.
![]()
(Gl. 4)
Auf beiden Seiten subtrahieren wir 64.
![]()
(Gl. 5)
Wir ersetzen 64 durch 43.
![]()
(Gl. 6)
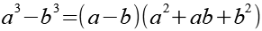
Es gilt:
![]()

Wir erhalten.
![]()
(Gl. 7)
Gl. 7 setzten wir in Gl. 6 ein.
![]()
(Gl. 8)
Beide Klammern können wir separat gleich Null setzen.
![]()
(Gl. 9)
Wir erhalten die erste Lösung für x.
![]()
(Gl. 10)
Bei der zweiten Klammer handelt es sich um eine quadratische Gleichung.
![]()
(Gl. 11)
Es gilt:
![]()

![]()

Als Lösung erhalten wir.
![]()
(Gl. 12)
![]()
(Gl. 13)
Für Gl. 11 erhalten wir zwei konjugiert komplexe Zahlen als Lösung.
![]()
(Gl. 14)
![]()
(Gl. 15)
![]()
(Gl. 16)
Für Gl. 1 bzw. Gl. 4 gibt es drei Lösungen, eine Reelle und zwei Komplexe.
![]()
![]()
![]()

Zur Kontrolle setzten wir die Löungen in Gl. 4 ein. Fangen wir mit der rellen Lösung x1 an und setzten Gl. 10 in Gl. 4 ein.
![]()
(Gl. 17)
Für x2 erhalten wir.
![]()

Es gilt:
![]()

![]()

![]()

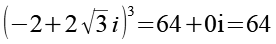
Für x3 erhalten wir.
![]()

![]()

| [zurück] | [Inhaltsverzeichnis] | [vor] |