[zurück]

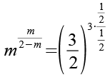
Aufgabe 44

[vor]

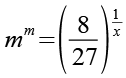
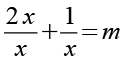
      (Gl. 1)

Beide Seiten potenzieren wir mit 1/x.

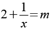
      (Gl. 2)

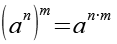
Es gilt.

      (Gl. 3)

Mit Hilfe von Gl. 3 erhalten wir.

      (Gl. 4)

Auf der linken Seite sind Basis und Exponent identisch, wir substituieren ihn mit m.

      (Gl. 5)

Wir setzen Gl. 5 in Gl. 4 ein.

      (Gl. 6)

Jetzt müssen wir noch das x durch m ausdrücken, dazu stellen wir Gl. 5 etwas um.

      (Gl. 7)

Wir können einmal x kürzen.

      (Gl. 8)

Auif beiden Seiten subtrahieren wir 2.

      (Gl. 9)

Gl. 9 setzen wir in Gl. 6 ein.

      (Gl. 10)

Es gilt.

      (Gl. 11)

Mit Hilfe von Gl. 11 erhalten wir.

      (Gl. 12)

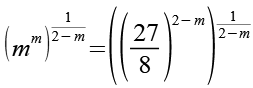
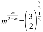
Wir potenzieren beide Seiten mit 1/(2-m).

      (Gl. 13)

Dadurch fällt auf der rechten Seite der Exponent weg.

      (Gl. 14)

Wir ersetzen die 27 durch 33 und die 8 durch 23.

      (Gl. 15)

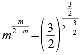
Den Exponent auf der rechten Seite multiplizieren und dividieren wir mit 1/2, der Wert wird dadurch nicht verändert.

      (Gl. 16)

Den Exponent auf der rechten Seite multiplizieren wir aus.

      (Gl. 17)

Den Nenner des Exponenten (1/2) ersetzen wir durch folgendes Konstrukt.

      (Gl. 18)

Wir setzen Gl. 18 in Gl. 17 ein.

      (Gl. 19)

Beide Seiten der Gleichung haben jetzt die gleiche Struktur (Basis, Exponent), d.h. wir können die Basis auf der linken Seite (m) mit der Basis der rechten Seite (3/2) gleichsetzen.

      (Gl. 20)

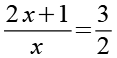
Wir setzen Gl. 20 in Gl. 5 ein.

      (Gl. 21)

Gl. 21 multiplizieren wir über Kreuz.

      (Gl. 22)

Die Klammer multiplizieren wir aus.

      (Gl. 23)

Gl. 23 atellen wir etwas um.

      (Gl. 24)

Das Ergebnis

      (Gl. 25)


Zur Kontrolle setzen wir Gl. 25 in Gl. 1 ein.

      (Gl. 26)


[zurück] [Inhaltsverzeichnis] [vor]