[zurück]

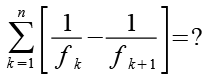
Aufgabe 48

[vor]

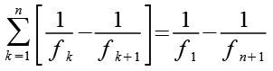
      (Gl. 1)

Für die Fakultät gilt.

      (Gl. 2)

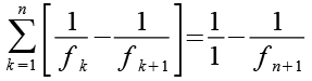
      (Gl. 3)

      (Gl. 4)

Aus Gl. 4 können wir auch herleiten.

      (Gl. 5)

Gl. 5 lösen wir nach fk-1 auf.

      (Gl. 6)

Gl. 6 setzen wir in Gl. 1 ein.

      (Gl. 7)

Es gilt.

      (Gl. 20)

Mit Hilfe von Gl. 20 erhalten wir aus Gl. 7.

      (Gl. 8)

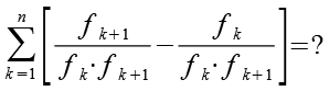
Jetzt können wir einmal fk+1 und einmal fk kürzen.

      (Gl. 9)

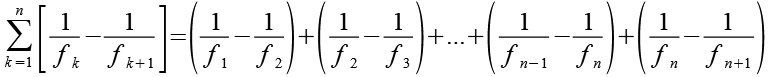
Wir formulieren die ersten und letzten Glieder der Folge.

      (Gl. 10)

      (Gl. 11)

Bis auf das erste und letzte Glied heben sich die anderen Glieder auf.

      (Gl. 12)

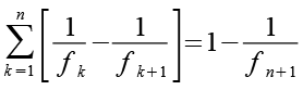
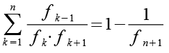
Mit Hilfe von Gl. 3 erhalten wir.

      (Gl. 13)

      (Gl. 14)

Das Ergebnis.

      (Gl. 15)

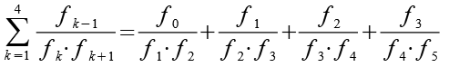
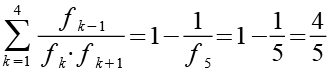
Als Beispiel setzen wir n=4 ein.

      (Gl. 16)

      (Gl. 17)

      (Gl. 18)

      (Gl. 19)


[zurück] [Inhaltsverzeichnis] [vor]