[zurück]

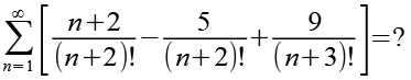
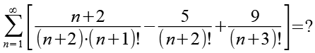
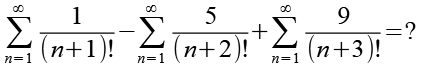
Aufgabe 50

[vor]

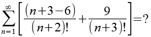
      (Gl. 1)

Den Zähler ergänzen wir mit +3-3.

      (Gl. 2)

Es gilt.

      (Gl. 3)

Für a und b setzen wir n+3 und 3 ein.

      (Gl. 4)

      (Gl. 5)

Gl. 4 und Gl. 5 setzen wir in Gl. 3 ein.

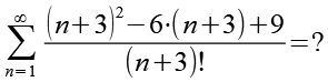
      (Gl. 6)

      (Gl. 7)

Gl. 7 setzen wir in Gl. 1 ein.

      (Gl. 8)

Es gilt.

      (Gl. 37)

Mit Hilfe von Gl. 37 erhalten wir aus Gl. 8.

      (Gl. 9)

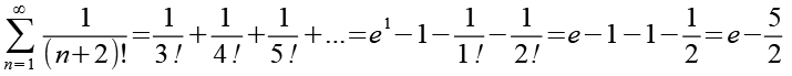
Für die Falkultät gilt.

      (Gl. 10)

Wir setzen Gl. 10 in Gl. 9 ein.

      (Gl. 11)

Wir können zweimal (n+3) kürzen.

      (Gl. 12)

Die beiden ersten Brüche addieren wir.

      (Gl. 13)

Es gilt +3-6=-3.

      (Gl. 14)

Die -3 ersetzen wir durch +2-5

      (Gl. 15)

Wir trennen den ersten Bruch in zwei Brüche.

      (Gl. 16)

Für die Falkultät gilt.

      (Gl. 17)

Wir setzen Gl. 17 in Gl. 16 ein.

      (Gl. 18)

Wir können einmal (n+2) kürzen.

      (Gl. 19)

Es gilt.

      (Gl. 38)

Mit Hilfe von Gl. 38 erhalten wir aus Gl. 19.

      (Gl. 20)

Es gilt.

      (Gl. 39)

Mit Hilfe von Gl. 39 erhalten wir aus Gl. 20.

      (Gl. 21)

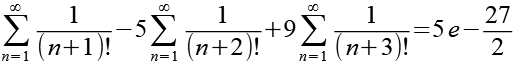
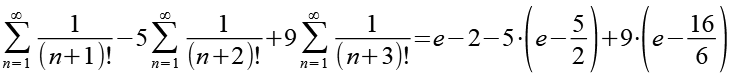
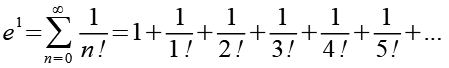
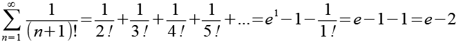
Für die Exponentialfunktion gilt.

      (Gl. 22)       (Gl. 23)

Wir setzen x=1 in Gl. 22 ein.

      (Gl. 24)

      (Gl. 25)

Für die erste Summenfunktion aus Gl. 21 erhalten wir mit Hilfe von Gl. 25.

      (Gl. 26)

Für die zweite Summenfunktion aus Gl. 21 erhalten wir mit Hilfe von Gl. 25.

      (Gl. 27)

Für die dritte Summenfunktion aus Gl. 21 erhalten wir mit Hilfe von Gl. 25.

      (Gl. 28)

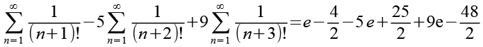
Die rechten Seiten von Gl. 26, Gl. 27 und Gl. 28 setzen wir in Gl. 21 ein.

      (Gl. 29)

Nach dem Ausmultiplizieren der Klammern erhalten wir.

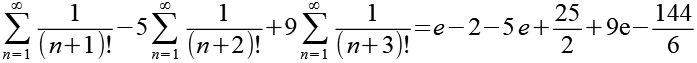
      (Gl. 30)

      (Gl. 31)

      (Gl. 32)

Das Ergebnis.

      (Gl. 33)


Anhang

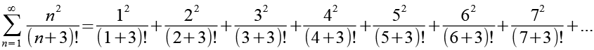
Untersuchen wir die Konvergenz der Folge.

      (Gl. 34)

      (Gl. 35)

      (Gl. 36)

n
1   
2   
3   
4   
5   
6   
7   
8   
9   
10   
11   
12   
13   
14   
15   
    0,0416666666667
    0,0750000000000
    0,0875000000000
    0,0906746031746
    0,0912946428571
    0,0913938492063
    0,0914073522928
    0,0914089556277
    0,0914091247294
    0,0914091407885
    0,0914091421764
    0,0914091422866
    0,0914091422946
    0,0914091422952
    0,0914091422952


[zurück] [Inhaltsverzeichnis] [vor]