[zurück]

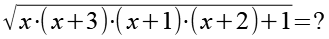
Aufgabe 53

[vor]

      (Gl. 1)

Die 97, 98 und 99 drücken wir durch 96 aus.

      (Gl. 2)

Wir substituieren 96 durch x.

      (Gl. 3)

Gl. 3 setzen wir in Gl. 2 ein.

      (Gl. 4)

Gl. 4 stellen wir etwas um.

      (Gl. 5)

Die benachbarten Klammern werden ausmultipliziert.

      (Gl. 6)

      (Gl. 7)

x2+3x wird durch y substituiert.

      (Gl. 8)

Gl. 8 setzen wir in Gl. 7 ein.

      (Gl. 9)

Die Klammer multiplizieren wir aus.

      (Gl. 10)

Gl. 10 ergänzen wir etwas.

      (Gl. 11)

Es gilt.

      (Gl. 12)

Mit Hilfe von Gl. 12 erhalten wir aus Gl. 11.

      (Gl. 13)

Wurzel und Potenz heben sich gegenseitig auf.

      (Gl. 14)

Jetzt machen wir die Substitution wieder rückgängig und setzen Gl. 8 in Gl. 14 ein.

      (Gl. 15)

Für x setzen wir wieder 96 ein (Gl. 3).

      (Gl. 16)

      (Gl. 17)

Wir können einmal 96 ausklammern.

      (Gl. 18)

Wir addieren 96+3.

      (Gl. 19)

Die 99 ersetzen wir durch 100-1.

      (Gl. 20)

Die Klammer multiplizieren wir aus.

      (Gl. 21)

      (Gl. 22)

Das Ergebnis.

      (Gl. 23)


Anhang 1

Die Zahlen unter der Wurzel kann man natürlich auch ausmultiplizieren.

Fangen wir mit 96 und 97 an.

      (Gl. 24)

Das Ergebnis multiplizieren wir mit 98.

      (Gl. 25)

Das Ergebnis multiplizieren wir mit 99.

      (Gl. 26)

Zum Schluß addieren wir noch die 1.

      (Gl. 27)

Alternativ könnte man auch 98 und 99 multiplizieren.

      (Gl. 28)

Das Ergabnis multiplizieren wir mit dem Ergebnis von Gl. 24.

      (Gl. 29)

Zum Schluß addieren wir noch die 1.

      (Gl. 27)


Anhang 2

Nachdem wir in Anhang 1 die Zahl unter der Wurzel berechnet haben können wir auch die Wurzel per Hand ziehen (siehe auch Aufgabe 32 und Aufgabe 33).

      (Gl. 30)

Wir unterteilen die Zahl, von rechts beginnend, in Zweierblöcke (hier grau gekennzeichnet). Auf die Darstellung des Wurzelzeichen habe ich verzichtet.

      (Gl. 31)

Der erste Block ist die 90. Wir prüfen zwischen welchen Quadratzahlen die 90 liegt.

      (Gl. 32)

Die kleinere Quadratzahl, hier die 81, ziehen wir von der 90 ab. Die 9 ist die erste Ziffer der gesuchten Wurzel.

      (Gl. 33)

Die Differenz ist 9, wir ergänzen die 9 durch den nächsten Zweierblock (34).

      (Gl. 34)

Als neue Zahl erhalten wir die 934. Jetzt müssen wir dafür den Teiler berechnen, dazu multiplizieren wir das bisherige Ergebnis (9) mit 20.

      (Gl. 35)

Im nächsten Schritt prüfen wir wie oft der Teiler (180) in 934 passt.

      (Gl. 36)

Dies ist hier 5 mal der Fall, die 5 ist daher die nächste Ziffer des Ergebnisses. Jetzt müssen wir den Subtrahend berechnen, die Berechnung erfolgt immer nach dem gleichen Schema. Die ermittelte Zahl (5) wird zum Teiler (180) addiert, das Ergebnis wird mit der ermittelten Zahl (5) multipliziert. So erhalten wir 925.

      (Gl. 37)

Die 925 ziehen wir von 934 ab.

      (Gl. 38)

Den Rest der Subtraktion (9) ergänzen wir mit dem nächsten Zweierblock (50).

      (Gl. 39)

Als neue Zahl erhalten wir die 950. Jetzt müssen wir dafür den Teiler berechnen, dazu multiplizieren wir das bisherige Ergebnis (95) mit 20.

      (Gl. 40)

Im nächsten Schritt prüfen wir wie oft der Teiler (1900) in 950 passt.

      (Gl. 41)

Dies ist hier 0 mal der Fall, die 0 ist daher die nächste Ziffer des Ergebnisses. Jetzt müssen wir den Subtrahend berechnen, die Berechnung erfolgt wieder nach dem gleichen Schema. Die ermittelte Zahl (0) wird zum Teiler (1900) addiert, das Ergebnis wird mit der ermittelten Zahl (0) multipliziert. So erhalten wir 0.

      (Gl. 42)

Die 0 ziehen wir von 950 ab.

      (Gl. 43)

Den Rest der Subtraktion (950) ergänzen wir mit dem nächsten Zweierblock (25).

      (Gl. 44)

Als neue Zahl erhalten wir die 95025. Jetzt müssen wir dafür den Teiler berechnen, dazu multiplizieren wir das bisherige Ergebnis (950) mit 20.

      (Gl. 45)

Im nächsten Schritt prüfen wir wie oft der Teiler (19000) in 95025 passt.

      (Gl. 46)

Dies ist hier 5 mal der Fall, die 5 ist daher die nächste Ziffer des Ergebnisses. Jetzt müssen wir den Subtrahend berechnen, die Berechnung erfolgt wieder nach dem gleichen Schema. Die ermittelte Zahl (5) wird zum Teiler (19000) addiert, das Ergebnis wird mit der ermittelten Zahl (5) multipliziert. So erhalten wir 95025.

      (Gl. 47)

Die 95025 ziehen wir von 95025 ab.

      (Gl. 48)

Der Rest ist 0, die Berechnung ist damit beendet.

      (Gl. 49)


[zurück] [Inhaltsverzeichnis] [vor]