[zurück]

Aufgabe 54

[vor]

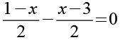
      (Gl. 1)

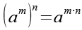
Es gilt.

      (Gl. 2)

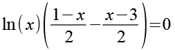
Mit Hilfe von Gl. 2 erhalten wir aus Gl. 1.

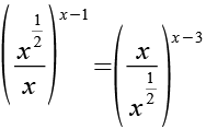
      (Gl. 3)

Es gilt.

      (Gl. 4)

Mit Hilfe von Gl. 4 erhalten wir aus Gl. 3.

      (Gl. 5)

      (Gl. 6)

Es gilt.

      (Gl. 7)

Mit Hilfe von Gl. 7 erhalten wir aus Gl. 6.

      (Gl. 8)

Die Klammern multiplizieren wir aus.

      (Gl. 9)

Auf beiden Seiten wenden wir den Logarithmus an.

      (Gl. 10)

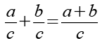
Es gilt.

      (Gl. 11)

Mit Hilfe von Gl. 11 erhalten wir aus Gl. 10

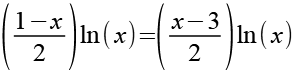
      (Gl. 12)

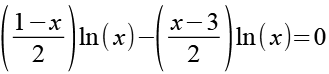
Die rechte Seite bringen wir auf die linke Seite.

      (Gl. 13)

Jetzt können wir ln(x) ausklammern.

      (Gl. 14)

Beide Teile von Gl. 14 können wir separat gleich Null setzen, fangen wir mit dem ersten Teil an.

      (Gl. 15)

Es gilt.

      (Gl. 40)

Mit Hilfe von Gl. 40 erhalten wir aus Gl. 15.

      (Gl. 16)

Wir erhalten das erste Ergebnis.

      (Gl. 17)

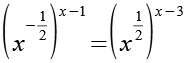
Jetzt setzen wir den zweiten Teil von Gl. 14 gleich Null.

      (Gl. 18)

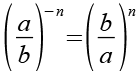
Es gilt.

      (Gl. 41)

Mit Hilfe von Gl. 41 erhalten wir aus Gl. 18.

      (Gl. 19)

Beide Seiten multiplizieren wir mit 2.

      (Gl. 20)

Wir lösen Gl. 20 nach x auf.

      (Gl. 21)

Wir erhalten das zweite Ergebnis.

      (Gl. 22)


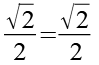
Zur Kontrolle setzen wir x1 in Gl. 1 ein.

      (Gl. 17)

      (Gl. 23)

      (Gl. 24)

      (Gl. 25)

Es gilt.

      (Gl. 26)                 und       (Gl. 27)

      (Gl. 28)

Zur Kontrolle setzen wir x2 in Gl. 1 ein.

      (Gl. 22)

      (Gl. 29)

      (Gl. 30)

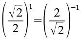
Es gilt.

      (Gl. 31)

Mit Hilfe von Gl. 31 erhqalten wir aus Gl. 30.

      (Gl. 32)

Anhang

Alternativer Lösungsweg.

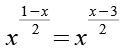
      (Gl. 1)

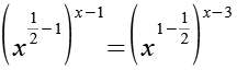
Es gilt.

      (Gl. 27)

Gl. 1 ist erfüllt wenn der Inhalt der Klammer 1 ist.

      (Gl. 33)

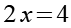
Das ist für x=1 der Fall.

      (Gl. 34)

Damit haben wir das erste Ergebnis.

      (Gl. 17)

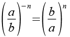
Es gilt.

      (Gl. 35)

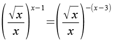
Mit Hilfe von Gl. 35 erhalten wir aus Gl. 1.

      (Gl. 36)

Beide Seiten haben die gleiche Basis und wir können die Exponenten gleichsetzen.

      (Gl. 37)

      (Gl. 38)

      (Gl. 39)

Wir erhalten das zweite Ergebnis.

      (Gl. 22)


[zurück] [Inhaltsverzeichnis] [vor]