[zurück]

Interessante Mathe Aufgaben

[vor]

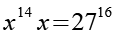
      (Gl. 1)

Beide Seiten werden quadriert.

      (Gl. 2)

      (Gl. 3)

Beide Seiten werden erneut quadriert.

      (Gl. 4)

      (Gl. 5)

      (Gl. 6)

      (Gl. 7)

Beide Seiten werden erneut quadriert.

      (Gl. 8)

      (Gl. 9)

      (Gl. 10)

      (Gl. 11)

Es gilt:

      (Gl. 12)

      (Gl. 13)

Beide Seiten werden erneut quadriert.

      (Gl. 14)

      (Gl. 15)

      (Gl. 16)

      (Gl. 17)

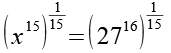
Beide Seiten potenzieren wir mit 1/15.

      (Gl. 18)

      (Gl. 19)

Die 27 ersetzen wir durch 33.

      (Gl. 20)

Mit Hilfe von Gl. 12 erhalten wir.

      (Gl. 21)

Die 16 ersetzen wir durch 15 + 1.

      (Gl. 22)

      (Gl. 23)

Mit Hilfe von Gl. 13 erhalten wir.

      (Gl. 24)

      (Gl. 25)


Zur Kontrolle setzten wir die Lösung in Gl. 1 ein, dazu benutzen wir die Darstellung von Gl. 21.

      (Gl. 26)

      (Gl. 27)

      (Gl. 28)

      (Gl. 29)


[zurück] [Inhaltsverzeichnis] [vor]