| [zurück] | Interessante Mathe Aufgaben |
[vor] |
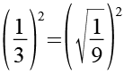
![]()
(Gl. 1)
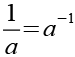
Es gilt:
![]()
(Gl. 2)
Mit Hilfe von Gl. 2 erhalten wir.
![]()
(Gl. 3)
Beide Seiten werden quadriert.
![]()
(Gl. 4)
Quadrat und Wurzel heben sich auf.
![]()
(Gl. 5)
Es gilt:
![]()
(Gl. 6)
Die 9 ersetzen wir duch 32, mit Hilfe von Gl. 6 erhalten wir.
![]()
(Gl. 7)
![]()
(Gl. 8)
Die Exponenten können wir Gleichsetzen.
![]()
(Gl. 9)
![]()
(Gl. 10)
Zur Kontrolle setzten wir die Lösung in Gl. 1 ein.
![]()

![]()

![]()

![]()

| [zurück] | [Inhaltsverzeichnis] | [vor] |