| [zurück] | 2.124. Four Wing 3 Attraktor |
[vor] |
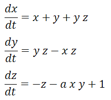
Den Four Wing 3 Attraktor habe ich hier [123] gefunden.

Pluginmenü
Das Plugin zur Erzeugung des Attraktors (für Cinema Version 11) kann auf der Download Seite runtergeladen werden.
| [zurück] | [Inhaltsverzeichnis] | [vor] |