| [zurück] | 2.17 Sakarya Attraktor |
[vor] |
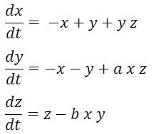
Den Sakarya Attraktor habe ich hier [33] gefunden.
Die Werte der Konstanten sind
|
a = 0,4 |
|
|
b = 0,3 |

Pluginmenü
In der folgenden Abbildung sind die Koordinaten der Punkte x, y und z als Funktion der Zeit t dargestellt (10000 Punkte).
Das Plugin zur Erzeugung des Attraktors (für Cinema Version 11) kann auf der Download Seite runtergeladen werden.
| [zurück] | [Inhaltsverzeichnis] | [vor] |