| [zurück] | 2.74 ACT Attraktor |
[vor] |
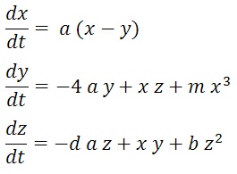
Den ACT Attraktor habe ich hier [93, 96] gefunden.
Die Werte der Konstanten sind
|
a = 1,8 |
|
|
b = -0,07 |
|
|
d = 1,5 |
|
|
m = 0,02 |

Pluginmenü
In der folgenden Abbildung sind die Koordinaten der Punkte x, y und z als Funktion der Zeit t dargestellt (20000 Punkte).
Das Plugin zur Erzeugung des Attraktors (für Cinema Version 11) kann auf der Download Seite runtergeladen werden.
| [zurück] | [Inhaltsverzeichnis] | [vor] |