| [zurück] | 2.8 Dequan Li Attraktor |
[vor] |
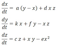
Den Dequan Li Attraktor habe ich hier [47] gefunden. Der Dequan Li Attraktor ist identisch mit dem TSUCS 2 Attraktor, nur die Bezeichnung der Konstanten ist anders.
Die Werte der Konstanten sind
|
a = 40 |
|
|
c = 1,833 |
|
|
d = 0,16 |
|
|
e = 0,65 |
|
|
k = 55 |
|
|
f = 20 |

Pluginmenü
In der folgenden Abbildung sind die Koordinaten der Punkte x, y und z als Funktion der Zeit t dargestellt (75000 Punkte).
Das Plugin zur Erzeugung des Attraktors (für Cinema Version 11) kann auf der Download Seite runtergeladen werden.
| [zurück] | [Inhaltsverzeichnis] | [vor] |